Hola, futura o futuro profesional de la salud. No sé si estés leyendo esto un día antes de tu EXANI II o si todavía tengas varios meses para prepararte, pero lo importante es que ya estás dando el paso correcto: practicar, identificar tus errores y repasar.

Son 40 ejercicios diseñados por los profes de Unibetas, con el mismo nivel de dificultad del examen real y únicamente con temas de la guía oficial.
¿Para quién es este simulacro?
Este examen simulacro está pensado especialmente para aspirantes que van a presentar el EXANI II en carreras de Ciencias de la Salud como Medicina, Enfermería, Odontología, Nutrición, Fisioterapia y más.
Los módulos que aquí resolvemos (Química, Matemáticas, Biología, Ciencias de la Salud y Premedicina) son justamente los que suelen aparecer con mayor frecuencia en estas carreras.
Practicarlos no solo te ayudará a reforzar tu conocimiento, también te dará una idea clara del tipo de reactivos que enfrentarás en el examen real.
Química
Reactivo 1
Identifique el tipo de reacción que ocurre en la siguiente ecuación química.
\mathrm{H}_2\mathrm{SO}_4 + 2\mathrm{KOH} \rightarrow \mathrm{K}_2\mathrm{SO}_4 + 2\mathrm{H}_2\mathrm{O}
Reactivo 2
Identifique la geometría del carbono señalado en la estructura.

Reactivo 3
Propiedad del carbono de combinar dos orbitales atómicos puros para formar un nuevo orbital molecular con características propias.
Reactivo 4
Se pesó 1 g de \mathrm{NaOH} y se disolvió en 100 mL de agua. ¿Cuál es la concentración molar de la disolución resultante, considerando que la masa del \mathrm{NaOH} es de 40 g/mol?
Reactivo 5
Si la diferencia de electronegatividad entre el Ca y O es de 2.5 , ¿qué tipo de enlace los une para formar un compuesto?
Reactivo 6
Identifique la estructura que corresponde a un aminoácido.



Reactivo 7
¿Cuál de las siguientes sustancias corresponde a una solución diluida?
Reactivo 8
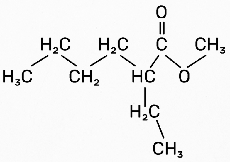
Identifique la nomenclatura IUPAC del compuesto representado en la estructura.

Matemáticas
Reactivo 9
En la tabla se muestran los datos sobre las características socioeconómicas de una población. Indique la tasa de viviendas habitadas que cuentan con computadora. Considere redondear el resultado al entero inmediato superior o inferior.
| Tipo de vivienda | Vivienda habitada | Dispone de computadora |
|---|---|---|
| A | 1 000 000 | 368 000 |
| B | 655 000 | 100 000 |
| C | 256 | 25 |
Reactivo 10
En una tienda de ropa, una joven observa que una gorra tiene un precio de $330 y, por temporada, se le aplica un descuento de 20\% . Al pagar en caja, le hacen un descuento adicional de 15\% , pues presentó una tarjeta de cliente frecuente.
¿A cuánto asciende el monto total del descuento que la joven obtuvo por su compra?
Reactivo 11
Complete la oración con la unidad de medida correspondiente y la estimación faltante.
Para un experimento escolar, Pablo pone a germinar un frijol en algodón y observa que crece en promedio 0.08 ___ por hora, por lo que después de ___ horas mide 57.6 mm.
Reactivo 12
Con base en la siguiente imagen, determine la afirmación verdadera.

Reactivo 13
¿Cuál es el valor de \cos \alpha si se tiene que \sin \alpha = \frac{8}{8.544} ?
Reactivo 14
De acuerdo con los datos, ¿cuál es el modelo que representa la cantidad de calorías quemadas por un atleta, en función de los minutos que ha entrenado en los últimos 5 días?
| Tiempo de entrenamiento (minutos) | Cantidad de calorías quemadas |
|---|---|
| 100 | 550 |
| 320 | 1100 |
| 200 | 800 |
| 160 | 700 |
| 240 | 900 |
Reactivo 15
En el plano cartesiano se muestra la gráfica de la función f(x) = -ax^2 - 2ax - a , donde a es un valor positivo. Seleccione la gráfica que corresponde a la función f(x) = ax^2 - 2ax + 2a



Reactivo 16
La tabla muestra los datos de una encuesta que se realizó a 30 familias para conocer la cantidad de focos que tienen en su casa.
¿Cuál es el número máximo de focos por vivienda de 60\% de las familias encuestadas?
| Focos en casa | Número de familias |
|---|---|
| 12 | 5 |
| 13 | 4 |
| 14 | 1 |
| 15 | 7 |
| 16 | 1 |
| 17 | 2 |
| 18 | 3 |
| 19 | 1 |
| 20 | 3 |
| 21 | 3 |
Biología
Reactivo 17
Proceso metabólico por el cual los hongos descomponen el azúcar en ácido láctico y dióxido de carbono.
Reactivo 18
El producto de la respiración celular responsable del dolor muscular que presenta una persona después de realizar ejercicio extenuante es el ácido…
Reactivo 19
¿Cuál es la estrategia que contribuye a la protección del medio ambiente?
Reactivo 20
Relacione las técnicas de la biotecnología con la aplicación que les corresponde.
| Técnica | Aplicación |
|---|---|
| 1. Reacción en cadena de polimerasa | a) Producción de insulina humana en bacterias |
| 2. ADN recombinante | b) Toma de huella genética en medicina forense |
| 3. Terapia genética | c) Ensayos clínicos para tratamiento de enfermedades |
Reactivo 21
Es la estructura de los hongos que tiene paredes reforzadas de quitina.
Reactivo 22
Una niña tiene sangre tipo AB. Su papá tiene sangre AA y su mamá BB.
¿Qué tipo de herencia explica que la niña tenga sangre AB?
Reactivo 23
La principal aportación de la teoría endosimbiótica de Lynn Margulis explica…
Reactivo 24
Durante el proceso de replicación, el ADN se encarga de…
Ciencias de la Salud
Reactivo 25
¿Qué acción corresponde al nivel de prevención primaria de una enfermedad?
Reactivo 26
Una persona ingiere alimentos contaminados con bacterias de salmonela, por lo que presenta fiebre, diarrea y cólicos abdominales. De acuerdo con la historia natural de la enfermedad, el intervalo de tiempo que pasó desde el momento de la ingesta hasta antes de la presencia de los síntomas se conoce como la fase de:
Reactivo 27
Un estudiante recurre al uso de laxantes después de realizar su ingesta en el receso escolar, con la intención de cuidar su peso ideal. ¿Qué trastorno alimenticio propicia las conductas descritas?
Reactivo 28
¿Cuál es el órgano responsable de controlar la toma de decisiones?
Reactivo 29
Los climas tropicales, con temperaturas que superan los 16°\mathrm{C} , son ideales para acelerar la capacidad de reproducción de muchos mosquitos transmisores de enfermedades. ¿Qué factor de la tríada ecológica se describe en el enunciado?
Reactivo 30
Un joven presenta fiebre alta, dolor de garganta y placas blancas en las amígdalas. Al realizar una prueba de laboratorio, se detecta la presencia de Streptococcus pyogenes, una bacteria que provoca la faringitis estreptocócica. ¿Cuál es el tipo de agente causal responsable de la enfermedad?
Reactivo 31
El MERS es una enfermedad que evoluciona rápidamente de síntomas como tos, fiebre y malestar general a insuficiencia respiratoria severa. Puede llegar a provocar fallas orgánicas y la muerte. ¿A qué característica del agente causal biológico corresponde este comportamiento?
Reactivo 32
En días recientes, a un adulto mayor le fue dado el diagnóstico de diabetes mellitus, por lo que es alta la probabilidad de que su hijo desarrolle la enfermedad si no se cuida. Identifique la medida de prevención para que el hijo no desarrolle la afección.
Premedicina
Reactivo 33
Identifique el órgano del aparato respiratorio señalado en el esquema:

Reactivo 34
¿En qué porción del tubo digestivo se lleva a cabo la mayor parte de la degradación de las grasas?
Reactivo 35
Una persona indica que tiene un malestar en la piel que identifica como un dolor. ¿Qué término médico describe este síntoma?
Reactivo 36
La siguiente imagen muestra al plano:

Reactivo 37
Tejido formado por células con una alta concentración de sodio y potasio, capaces de conducir impulsos eléctricos.
Reactivo 38
Son las partes principales que constituyen a una neurona.
Reactivo 39
Partes del corazón que impulsan la sangre hacia el cuerpo:
Reactivo 40
Identifique el órgano del aparato masculino que se señala en la imagen.

Pensamiento Matemático
Reactivo 41
Se realizó un estudio acerca de los niveles de triglicéridos con los grupos de personas que acudieron a diversos laboratorios clínicos a realizarse una prueba de sangre. Sobre uno de los laboratorios clínicos se comentó: “Las personas en promedio tienen un nivel de triglicéridos de 135 mg/dL de sangre; sin embargo, el número de personas con los mismos niveles de triglicéridos es muy variable. Así como hay muchas con un nivel de triglicéridos alrededor de 45 mg/dL, otro tanto casi igual presenta niveles altos cercanos a 225 mg/dL”.
¿Qué gráfica representa la descripción anterior?



Reactivo 42
Considerando los siguientes polinomios:
A = x - 3
B = 3x^3 - x^2
C = -4x^2 + 2x
¿Cuál es el resultado de la operación que se indica a continuación?
A + 2B - C
Reactivo 43
Con base en la imagen, seleccione la operación que corresponda al área de la región sombreada en la que BE = EC y EC = DC.

Reactivo 44
Una escuela organiza una selección de futbol. Para elegir a la última integrante se considera el número de goles de 2 estudiantes, en los 5 últimos partidos.
| María | Julia | ||
|---|---|---|---|
| Número de partido | Número de goles anotados | Número de partido | Número de goles anotados |
| 1 | 2 | 1 | 4 |
| 2 | 4 | 2 | 4 |
| 3 | 4 | 3 | 3 |
| 4 | 4 | 4 | 4 |
| 5 | 6 | 5 | 5 |
De acuerdo con la tabla, se observa que ambas tienen un promedio de 4 goles, pero el entrenador quiere que su desempeño en el partido no se aleje mucho de dicho promedio. Para elegir a la última integrante del equipo, el entrenador debe considerar a…
Reactivo 45
En la gráfica se muestra el número de pares de zapatos vendidos en una tienda por día hábil.

¿Cuál es la media aritmética del número de pares vendidos durante esos días?
Reactivo 46
Para la función y = 5x^2 - 10x - 25 se obtiene la siguiente gráfica.

Relacione las ecuaciones que reflejan cambios en los coeficientes con las gráficas que los representan.
| Ecuación | Gráfica |
|---|---|
| 1. y = 5x^2 - 10x | a)![]() |
| 2. y = -5x^2 - 10x + 25 | b)![]() |
| 3. y = 5x^2 + 10x - 25 | c)![]() |
Reactivo 47
Una persona necesita laborar al menos 98 horas para solventar sus gastos básicos. ¿Cuál de las siguientes desigualdades representa correctamente esta situación?
Reactivo 48
Elija la opción que representa correctamente el desarrollo de la siguiente expresión algebraica:
8(2a + 3b)(2a + 3b)(3b + 2a)




